想了解设备资料?报价?售后?请留言,速回电
厂家直销,留言立享本月优惠价免费提供环保政策、办厂手续、投资预算等资料
斜环磁选机作为斜环高梯度磁选设备,处理的物料颗粒粒度较细,故影响其分选过程的力有磁力、流体推动力、重力、颗粒之间的相互作用(静电力和范德华力)等。为了简便起见,下面以球形赤铁矿矿粒为例,分析和估算各种作用力的大小。
.jpg)
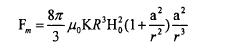
1.磁力
在斜环磁选机中,聚磁介质为圆柱形导磁不锈钢材料的棒介质,背景磁场和磁介质的饱和磁感应强度分别为H0和H5。该磁选机的设计初衷,就是让磁介质产生更强的磁场梯度,故磁介质的饱和磁感应强度大于背景磁场(即:H0>H5),则根据公式,假设一个位于磁介质附近且半径为R的球形矿粒所受的磁力为:
![]()
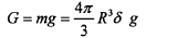
2.重力
球形矿粒所受重力可用下式求得(未计算浮力):
![]()
球形矿粒在矿浆中所受的有效重力为(计算浮力):
![]()
3.流体推动力
水在倾斜置放的槽体中,沿槽底斜面流动时,由于没有封闭的表面,故与水在明渠中流动相同,是靠自身重力发挥作用,属无压水流。水沿斜面流动,如果槽体的断面、坡度、槽底粗糙度等前后一致,则在流量一定的条件下,流速将保持不变,称为等速流;若沿槽体长度,其横断面、坡度、粗糙度等有所改变,相应位置的流速也就不同,该斜面流称为非等速流。根据斜面流的流速与时间的关系,可将斜面流分为稳定流和非稳定流。稳定流的流速与时间变化无关,非稳定流的流速是随时间的变化而改变。
在槽底斜面上,水流的运动状态可分为层流和紊流两种。层流运动时,斜面任一点水流瞬时速度的大小及方向,都是相同的;紊流运动时,其瞬时速度在整个时间内是变化的,并在某一平均瞬时水速上下波动。此外,在层流流态和稳流流态之间,有一过渡状态,该状态的特点是:水流运动状况很不稳定,在这不稳定区内,层流与紊流流态频繁交替地变化。介质的流态,可用雷诺数判断。
4.摩擦力
当斜环磁选机的倾斜角度为e时,在分选区矿粒与磁介质接触后,它们之间的摩擦力为:
![]()
5.离心力
在斜环磁选机的分选过程中,假设矿浆中的矿粒附在转筒内壁,随着转筒的旋转做匀速圆周运动,则会受到离心力的作用。根据牛顿第二运动定律,在转筒内壁且半径为R的球形矿粒所受的离心力为:
![]()
6.静电力
(1)同类矿粒之间的静电力
半径分别为为R;和凡的球形同类矿粒。根据DLVO理论,他们之间的双电层自由能力:
![]()
(2)异类矿粒之间的静电力
两个半径分别为R。根据DLvo理论,他们之间的双电层自由能为:
![]()
上一篇:石料生产线中如何选择破碎设备
下一篇:HX制砂机更换转子体操作步骤
想了解设备资料?报价?售后?请留言,速回电
厂家直销,留言立享本月优惠价免费提供环保政策、办厂手续、投资预算等资料
3分钟前 高先生:时产200吨制砂机报个价,处理鹅卵石
8分钟前 李先生:移动式破碎机怎么解决粉尘问题?
13分钟前 徐女士:需要制砂机,南宁能看制砂现场吗?
16分钟前 程先生:破碎生产线出个方案及报价,有什么售后服务?
22分钟前 郑女士:想了解时产500吨锤破,加工石灰石
31分钟前 吴先生:成套石头破碎设备有吗?给个详细产品资料
36分钟前 罗先生:每小时100吨左右的鄂破和反击破,推荐下型号
42分钟前 梁先生:膨润土磨到200目,用什么磨粉设备?
提交留言我们会第一时间回复您!
磁选设备又称磁选机,它属于选矿设备,它的功能和作用就是对各种含铁类金属进行磁选任务,该设备按照其大小可分为大型磁选机、中型磁选机、小型磁选机和微型磁选机,每一种设备都有各自的优势,但是综合对比来看,小型磁选机更加节能、环保,而且耗能也是相当的低,本文从其优势、生产厂家以及出售价格来对该设备进行全面的分析与探讨。
2017-05-16某铁选厂目前采用的选别工艺为磁选工艺,选矿过程中的主要设备为磁选机。投产期间,该厂一直对选矿结果不甚满意,为改变现状,该厂对磁选工艺进行了深入的研究,认真观察,发现问题并积极改造,效果相当的显著。
2015-12-05浮选常遇到的矿物既非完全亲水,也非疏水,往往是中间状态,即图中曲线的情况。矿粒向气泡附着的过程,详细可分为a、b、c和d四个阶段,如下图所示。
2013-10-09球磨机的磨矿过程是否正常,对磨机的工作效率效率影响很大。为了找出影响磨机生产效率的因素,并采取有效措施提高磨机的工作效率,对球磨机磨矿过程的理论进行分析是非常有必要的。
2013-04-07在破碎机破碎物料的过程中,伴随着损伤的演化,微裂纹从无序分布逐渐向有序发展,形成宏观大裂纹而导致物料的失稳破碎。损伤能量释放率反映了这个过程的能量耗散程度。本文基于应变等效假设原理和弹性力学理论,对物料在破碎过程中的损伤能量释放率进行分析。
2012-12-30石膏烘干机的三个分区的控制方式相同,调整过程也相同,因此我们在此只给大家讲述一区的调整控制方式。但是原有的PID控制不能满足石膏烘干机温度控制全自动化的实现。
2012-11-05